Hela-Luc
CBP30261L
產品描述
產品數據庫
| I. Introduction | |
| Host Cell: | Hela-Luc |
| Expressed gene: | Luciferase |
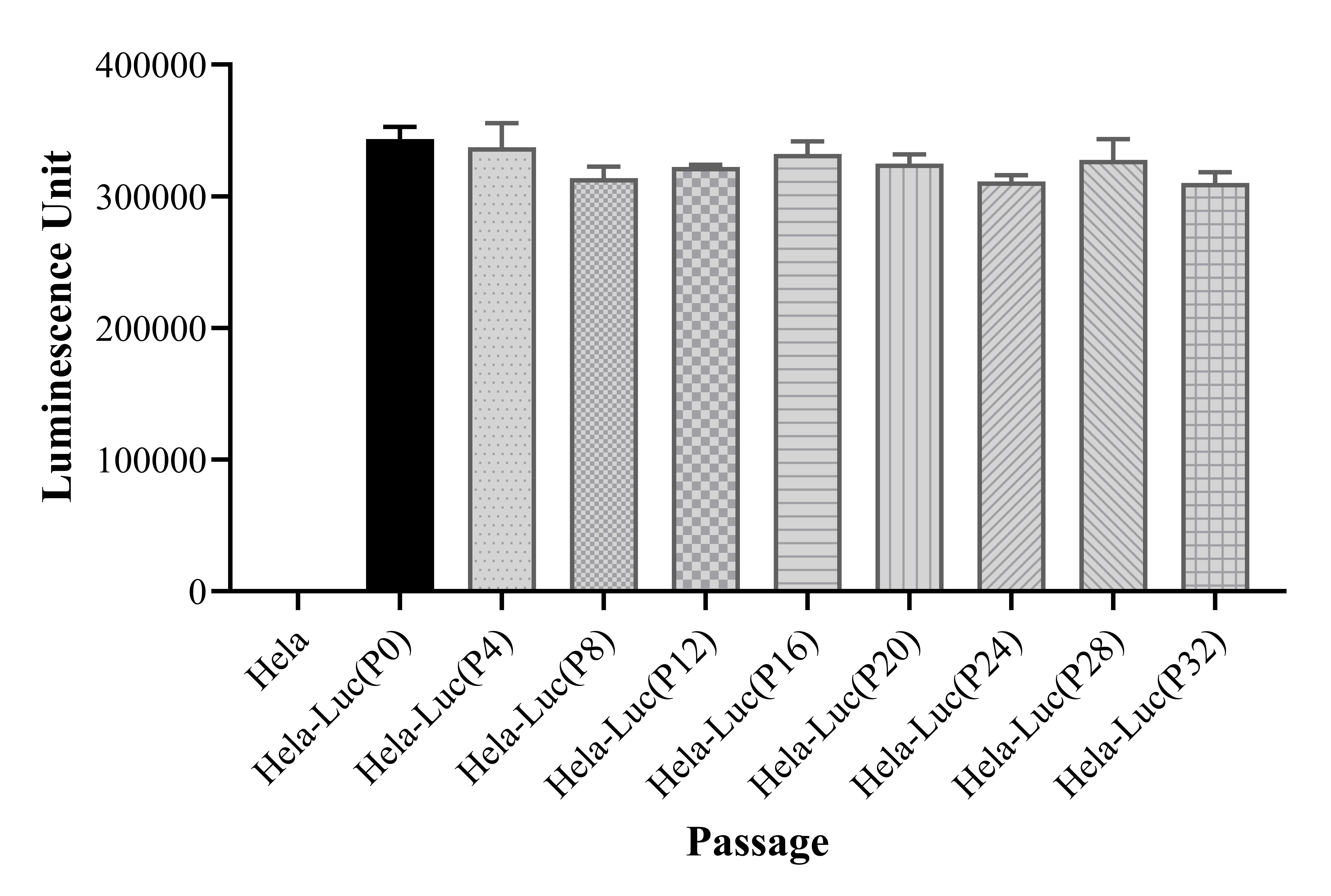
| Stability: | 32 passages(in-house test, that not means the cell line will be instable beyond the passages we tested.) |
| Freeze Medium: | 90% FBS+10% DMSO |
| Culture Medium: | DMEM+10%FBS+2 μg/ml puromycin |
| Mycoplasma Status: | Negative |
| Storage: | Liquid nitrogen |
| II. Description of Host Cell Line | |
| Organism: | Homo sapiens, human |
| Tissue: | Cervix |
| Disease: | Adenocarcinoma |
| Morphology: | Epithelial-like cells growing in monolayers |
| Growth Mode: | adherent |
| III. Representative Data | |
![]() |
|
|
Figure 1. Stablity test results. Hela-Luc showed at least 32 passage stability with similar luminescence unit. |
|
